Machine Learning Algorithms:
1. Supervised Learning
- Regression: Predict results within a continuous output
- Ex) predict ages based on the given picture of people.
- Classification: Predict results in a discrete output (map input variables into discrete categories).
2. Unsupervised Learning
- Allows us to approach problems with little or no idea what our results should look like.
- There's no feedback based on the prediction results.
- We can derive this structure by clustering the data based on relationships among the variables in the data.
3. Others: Reinforcement Learning, Recommender Systems
Model and Cost Function:
1. Model

- h (hypothesis) maps from x's to y's
2. Cost Function

- Measures the accuracy of our hypothesis function by using a cost function.
- Squared Error Function or Mean Squared Error
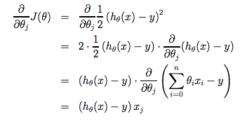
- 1/2 in the equation is as a the convenience for the computation of the gradient descent, as the derivate term of the square function will cancel out the the 1/2 term.
Parameter Learning:
1. Gradient Descent

- Our goal is to minimize the cost function. We can achieve the goal by taking the derivative of the cost function.
- Be aware that you must update theta simultaneously
- Gradient descent can converge to a logal minimum, even with the learnng rate alpha fixed.
2. Gradient Descent for Linear Regression Model

- There are no local optima (other than the global optimum)